О.В. ПЕТУНИН
Продолжение. См. № 11/2005
Уроки биологии в классах
естественно-научного профиля
Расширенное планирование, 10 класс
2. Способность воды к адгезии. Ее
свойство притягиваться любой поверхностью,
несущей электрический заряд, позволяет ей
подниматься по мелким порам в почве и по сосудам
ксилемы у растений на большую высоту.

Структура воды
3. Силы сцепления между молекулами воды
обеспечивают ее вязкость, поэтому вода
является смазывающим веществом в биологических
системах. Например, синовиальная жидкость в
суставах позвоночных.
4. Вода – хороший растворитель
ионных (полярных), а также некоторых неионных
соединений, в молекулах которых присутствуют
заряженные (полярные) группы. Любые полярные
соединения в воде гидратируются (окружаются
молекулами воды), при этом молекулы воды
участвуют в образовании структуры молекул
органических веществ. Если энергия притяжения
молекул воды к молекулам какого-либо вещества
больше, чем энергия притяжения между молекулами
самого вещества, то вещество растворяется в воде.
По отношению к воде различают: гидрофильные
вещества (от греч. гидрос – вода и филео
– любить), хорошо растворимые в воде, и гидрофобные
вещества (от греч. гидрос и фобос –
страх), практически нерастворимые в воде.

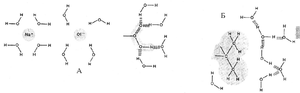
Гидрофильные (А) и гидрофобные (Б)
молекулы
В молекулах гидрофильных веществ
преобладают полярные группы (–ОН; С=О; –СООН;
–NH2), которые способны устанавливать с
молекулами воды водородные связи. Гидрофильными
свойствами обладают соли, кислоты, щелочи, белки,
углеводы.
Гидрофобные вещества имеют неполярные
молекулы, которые отталкиваются молекулами воды.
В воде не растворяются жиры, бензин, полиэтилен и
другие вещества.
Свойство воды как растворителя имеет
большое значение для живых организмов, так как
большинство биохимических реакций может идти
только в водном растворе. Кроме того, в качестве
растворителя вода обеспечивает как приток
веществ в клетку, так и удаление из нее продуктов
жизнедеятельности.
5. Подвижность молекул воды
объясняется тем, что водородные связи,
связывающие соседние молекулы, слабы, что и
приводит к постоянным столкновениям ее молекул в
жидкой фазе. Молекулярная подвижность воды
позволяет осуществляться осмосу (диффузии,
направленному движению молекул через
полупроницаемую мембрану в более
концентрированный раствор), необходимому для
поглощения и движения воды в живых системах.

Осмос
6. Среди самых распространенных в
природе жидкостей вода имеет наибольшую
теплоемкость, поэтому у нее высокая температура
кипения (100 °С) и низкая температура замерзания
(0 °С). Подобные свойства воды позволили ей
стать главной составляющей внутриклеточных и
внутриорганизменных жидкостей. Правда,
температура замерзания воды несколько выше, чем
было бы идеально для жизни, так как на Земле
обширные территории имеют температуры ниже 0 °С.
Если кристаллы льда образуются в живом
организме, то они могут разрушить его тонкие
внутренние структуры и вызвать его гибель. У
озимой пшеницы, у ряда насекомых, у лягушек в
организме есть природные антифризы,
предотвращающие образование льда в их клетках.
7. «Необычная» плотность и
«поведение» воды вблизи точки замерзания
приводят к тому, что лед плавает на поверхности
водоемов, создавая изолирующий слой, который при
низких температурах защищает водных обитателей
и водоем от полного промерзания.
8. Вода обладает большой удельной
теплотой парообразования, поэтому, испаряясь,
вода способствует охлаждению тела (при
испарении 1 г воды тело теряет 2430 Дж энергии).
Известно, что за день тяжелой работы человек
теряет до 10 л пота. Если бы пот во время работы не
выделялся и не испарялся, то организм «нагрелся»
бы до 100 °С. Испарение воды с поверхности
листьев растений в ходе транспирации также
способствует охлаждению.
9. Вода является реагентом во
многих химических реакциях. Например,
гидролитическое расщепление белков, углеводов,
жиров и т.д. Вода играет роль источника кислорода,
выделяемого при фотосинтезе, и водорода, который
используется для восстановления продуктов
ассимиляции углекислого газа.
10. Большая теплоемкость и
теплопроводность воды способствует равномерному
распределению тепла в клетке и в организме.
Таким образом, вода – самая
удивительная жидкость на Земле, свойства которой
превосходят всякую фантазию. Уникальные
свойства воды позволяют ей выполнять не менее
уникальные биологические функции.
III. Закрепление знаний
Обобщающая беседа по ходу изучения
нового материала.
Заполнение таблицы «Биологические
функции воды».
Таблица 3. Биологические функции воды
Свойства воды |
Биологическое значение |
1. Высокая температура кипения
2. Расширение при замерзании
3. Хороший растворитель
4. Сочетание высокой теплоемкости и высокой
теплопроводности
5. Капиллярность
6. Высокая скрытая теплота парообразования
7. Прозрачность
8. Практически полная несжимаемость
9. Подвижность молекул
10. Вязкость |
Образует основу внутренней
среды организмов
Лед защищает водоемы от промерзания, а водных
обитателей замерзающих озер, прудов и рек от
гибели
В водных растворах протекает большинство
биохимических реакций
Поддержание теплового равновесия организма,
обеспечение его термостабильности
Подъем воды и растворенных в ней веществ на
большую высоту в почве и в теле растений
Охлаждение организма при минимальной потере
воды
Возможность фотосинтеза на небольшой глубине
Поддержание формы организмов
Возможность осмоса
Смазывающие свойства |
IV. Домашнее задание
Изучить параграф учебника (строение,
свойства и биологические функции воды).
Урок 4. Минеральные соли и их
биологическая роль
Оборудование: таблицы по общей
биологии, схемы строения молекулы воды и
образования водородных связей.
I. Проверка знаний
Работа по карточкам
Карточка 1. Прочитайте отрывок из
стихотворения М.Дудника:
Говорят, что на восемьдесят процентов
Из воды состоит человек.
Из воды – добавлю – родных его рек.
Из воды – добавлю – дождей, что его напоили.
Из воды – добавлю – из древней воды родников,
Из которых его и деды, и прадеды пили...
Как вы понимаете этот текст с точки
зрения знаний о составе живого вещества и роли
воды в живой природе?
Карточка 2. Если растереть в ступке
таблетку фенолфталеина и добавить несколько
гранул щелочи, то между этими веществами реакция
не наблюдается – окрашивания не происходит. Что
надо сделать, чтобы реакция происходила?
Карточка 3. Большой сосуд с водой,
помещенный в погреб, предохраняет овощи от
замерзания. Почему?
Карточка 4. В ясный весенний день
температура воздуха 10 °С, относительная
влажность воздуха 80%. Будет ли ночью заморозок?
Почему перед заморозком рассаду помидоров и
огурцов обильно поливают?
Карточка 5. Почему альпийские
растения низкорослы? Почему во всех частях этих
растений сахара накапливается больше, чем у
таких же растений, находящихся вне альпийской
зоны?
Карточка 6. В самые сухие и жаркие
дни пчелы на верхних стенках каморок в улье
«развешивают» капельки воды. Зачем?
Карточка 7. В результате эволюции в
живой природе создалась богатейшая кладовая
химических соединений. Известно, что мир
растений наиболее богат химическими
соединениями, активно используемыми человеком.
Чем можно объяснить изобилие химических веществ
именно в мире растений, а не в мире животных? В
каких районах Земли можно ожидать произрастание
растительных сообществ, наиболее богатых
химическими соединениями?
Карточка 8. Всем известно, что
водомерки бегают по воде, как посуху. Воду можно
налить в стакан «с верхом», и она не прольется, в
отличие от других жидкостей. Как вы объясните это
явление? Благодаря какому свойству воды оно
возможно?
Устная проверка знаний по вопросам
1. Водородная связь и ее роль в «химии»
жизни.
2. Содержание воды в клетке.
3. Строение молекулы воды. Образование
водородных связей между молекулами воды.
4. Свойства и функции воды в клетке и
организме (два учащихся).
II. Изучение нового материала
1. Содержание солей в клетке
В клетке содержится 1–1,5% минеральных
солей. Соли – соединения ионные, т.е. в их составе
атомы с частично приобретенным положительным и
отрицательным зарядом. В воде соли легко
растворяются и распадаются на ионы, т.е.
диссоциируют с образованием катиона металла и
аниона кислотного остатка. Например:
NaCl ––> Na+ + Сl–;
Н3РO4 ––> 2H+ + НРO42–;
Н3РO4 ––> H+ + Н2РO4–.
Поэтому мы говорим, что соли
содержатся в клетке в виде ионов. В наибольшей
степени в клетке представлены и имеют наибольшее
значение
катионы: К+, Na+, Са2+, Mg2+;
анионы: НРО42–, H2РО4–,
Сl–, НСО3–, HSO4–.
Есть в живых тканях и соли, находящиеся
в твердом состоянии, – например, фосфат кальция,
входящий в состав межклеточного вещества
костной ткани, в раковины моллюсков.
2. Биологическое значение катионов
Рассмотрим значение важнейших
катионов в жизнедеятельности клетки и организма.
1. Катионы натрия и калия (К+ и Na+),
концентрация которых в клетке и в межклеточном
пространстве сильно различается – концентрация
К+ внутри клетки очень высокая, а Na+ –
низкая. Пока клетка жива, различия в концентрации
этих катионов стойко поддерживаются. Благодаря
разнице в концентрациях катионов натрия и калия
по обе стороны клеточной мембраны на ней
создается и поддерживается разница потенциалов.
Также благодаря этим катионам оказывается
возможной передача возбуждения по нервным
волокнам.
2. Катионы кальция (Ca2+) являются
активатором ферментов, способствуют свертыванию
крови, входят в состав костей, раковин,
известковых скелетов, участвуют в механизмах
мышечного сокращения.
3. Катионы магния (Mg2+) также
являются активаторами ферментов, входят в состав
молекул хлорофилла.
4. Катионы железа (Fe2+) входят в
состав гемоглобина и других органических
веществ.
3. Биологическое значение анионов
Несмотря на то, что в процессе
жизнедеятельности клетки непрерывно образуются
кислоты и щелочи, в норме реакция клетки
слабощелочная, почти нейтральная (рН=7,2). Это
обеспечивается содержащимися в ней анионами
слабых кислот, которые связывают или отдают ионы
водорода, в результате чего реакция среды клетки
практически не изменяется.
Способность клетки поддерживать
определенную концентрацию водородных ионов (рН)
называют буферностью.
Внутри клетки буферность
обеспечивается главным образом анионами H2РО4–.
Во внеклеточной жидкости и в крови роль буфера
играют СО32– и НСО3–.
Отчасти буферность обеспечивается и катионами,
образующими слаборастворимые основания – они
связывают гидроксил-ионы (ОН–) при их
избытке.
III. Закрепление знаний
Обобщающая беседа по ходу изучения
нового материала.
IV. Домашнее задание
Изучить параграф учебника
(минеральные соли их биологическая роль).
Пользуясь текстом учебника, записями,
сделанными в классе и дополнительными
источниками информации, заполнить табл. 4 (внести
в таблицу сведения о биологической роли
следующих элементов: Mg, Na, Ca, Fe, К, S, P, Cl, Zn, Сu, I, F, Mn,
В, Мо, Со).
Элемент |
Роль в клетке |
Роль в организме |
растительном |
животном |
|
|
|
|
Урок 5. Органические вещества.
Липиды – связь строения, свойств и функций
Оборудование: таблицы по общей
биологии, схемы строения липидов и их
классификация.
I. Проверка знаний
Работа по карточкам
Карточка 1. Как вы думаете, чем можно
объяснить близость по солевому составу плазмы
наземных позвоночных и морской воды?
Карточка 2. К чему может привести
изменение солевого состава плазмы крови?
Карточка 3. Как влияет недостаток
какого-либо нужного элемента в клетке и
организме на их жизнедеятельность? В чем это
может проявиться? Приведите примеры.
Карточка 4. Верно ли утверждение:
«Дигидрофосфат-ионы способны понизить рН клетки,
превращаясь в гидрофосфат-ионы»?
Карточка 5. Среди солей,
образованных одновалентным катионом и
одновалентным анионом, гораздо больше
растворимых в воде, чем среди солей, образованных
двухвалентным катионом и двухвалентным анионом.
Как вы думаете, почему?
Устная проверка знаний по вопросам
1. Содержание солей в клетке.
2. Биологические функции катионов.
3. Биологические функции анионов.
Проверка заполнения таблицы 4 (см. табл.
4а).
Элемент |
Роль в клетке |
Роль в организме |
растительном |
животном |
Магний (Mg) |
Кофдактор многих ферментов |
Входит в состав молекулы
хлорофиллад; ион Mg2+ образует соли с
пектиновыми веществами |
Входит в состав ферментов,
необходимых для функционирования мышечной,
нервной и костной тканей |
Натрий (Na) |
Участвует в создании и
поддержании биоэлектрического потенциала на
клеточной мембране |
Ион Na+ участвует в
поддержании осмотического потенциала клеток,
что обеспечивает поглощение воды из почвы |
Ионы Na+ влияют на работу
почек, участвуют в поддержании сердечного ритма,
входят в состав минеральных веществ крови,
участвуют в регулировании кислотно-щелочного
равновесия в организме |
Медь (Сu) |
Входит в состав окислительных
ферментов, участвующих в синтезе цитохромов |
Входит в состав ферментов,
участвующих в темновых реакциях фотосинтеза |
Участвует в синтезе
гемоглобина; у беспозвоночных входит в состав
дыхательного пигмента – гемоцианина; у человека
входит в состав фермента, участвующего в синтезе
меланина |
Железо (Fe) |
Входит в состав цитохромов –
ферментов – переносчиков электронов в световой
фазе фотосинтеза и в дыхательной цепи |
Участвует в синтезе
хлорофилла, входит в состав ферментов,
участвующих в дыхании, входит в состав
цитохромов – переносчиков электронов в ходе
фотосинтеза |
Входит в состав небелковой
части гемоглобина – гема и белка миоглобина,
содержащего запас кислорода в мышцах, в
небольшом количестве содержится в печени и
селезенке в виде белка ферритина |
Кальций (Са) |
Ионы Са2+ участвуют в
регуляции избирательной проницаемости
клеточной мембраны, в процессах соединения ДНК с
белками |
Ионы Са2+ образуя соли
пектиновых веществ, придают твердость
межклеточному веществу, соединяющему
растительные клетки |
Нерастворимые соли кальция
входят в состав костей позвоночных, раковин
моллюсков, коралловых полипов; ионы Са2+
участвуют в образовании желчи, в передаче
нервного импульса через синапсы, являются одним
из факторов свертывания крови, активируют
ферменты при сокращении поперечнополосатых
мышечных волокон |
Калий (К) |
Участвует в создании и
поддержании мембранного потенциала,
активизирует ферменты, участвующие в синтезе
белка, входит в состав ферментов гликолиза |
Участвует в регуляции водного
режима, входит в состав ферментов фотосинтеза,
компонент клеточного сока вакуолей (содержится в
виде катионов К+) |
Участвует вместе с натрием и
кальцием в поддержании сердечного ритма,
участвует в проведении нервного импульса |
Сера (S) |
Входит в состав аминокислот
(цистеина, цистина, метионина); участвует в
формировании третичной структуры белка
(дисульфидные мостики); входит в состав
кофермента А и некоторых ферментов; участвует в
процессе фотосинтеза у бактерий; соединения серы
служат источником энергии для некоторых
хемосинтетиков |
Определяется ролью в клетке |
Определяется ролью в клетке;
входит в состав инсулина, витамина B1,
биотина |
Фосфор (Р) |
В виде остатков ортофосфорной
кислоты входит в состав АТФ, нуклеотидов, ДНК,
РНК, коферментов НАД+, НАДФ+, ФАД+,
фосфорилированных сахаров, фосфолипидов, многих
ферментов; входит в состав всех мембранных
структур |
Определяется ролью в клетке |
В виде фосфатов входит в состав
костной ткани, зубной эмали; фосфатная буферная
система млекопитающих поддерживает рН тканевой
жидкости в интервале 6,9–7,4 |
Хлор (Сl) |
Анионы Сl– участвуют в
поддержании электронейтральности клетки |
Анионы Сl– участвуют в
регуляции тургорного давления |
Анионы Сl вместе с катионами
натрия участвуют в формировании осмотического
потенциала плазмы крови; участвуют в процессах
возбуждения и торможения в нервных клетках;
входят в состав соляной кислоты, являющейся
компонентом желудочного сока |
Йод (I) |
|
|
У позвоночных входит в состав
гормона щитовидной железы – тироксина |
Марганец (Мn) |
Входит в состав ферментов,
участвующих в дыхании, окислении жирных кислот,
повышении активности фермента карбоксилазы |
Входит в состав ферментов,
участвующих в темновых реакциях фотосинтеза и в
восстановлении нитратов |
Входит в состав фосфатаз –
ферментов, необходимых для роста костей |
Цинк (Zn) |
Входит в состав ферментов,
участвующих в спиртовом брожении |
Входит в состав ферментов,
активизирующих расщепление угольной кислоты, и
ферментов, участвующих в синтезе растительных
гормонов – ауксинов |
Входит в состав фермента,
участвующего в транспорте углекислого газа в
крови позвоночных; фермента, гидролизирующего
пептидные связи при переваривании белков;
ферментов, необходимых для нормального роста |
Фтор (F) |
|
|
В виде нерастворимых
кальциевых солей входит в состав костей и ткани
зубов |
Бор (В) |
|
Влияет на ростовые процессы.
Недостаток приводит к отмиранию верхушечных
почек, цветков, завязей, проводящих тканей |
|
Молибден (Мо) |
Входит в состав ферментов,
участвующих в фиксации азота у нитрифицирующих
бактерий |
Входит в состав ферментов,
регулирующих работу устьичного аппарата, и
ферментов, участвующих в синтезе аминокислот |
Определяется ролью в клетке |
Кобальт (Со) |
|
|
Входит в состав витамина B12,
принимает участие в синтезе гемоглобина.
Недостаток приводит к анемии |
II. Изучение нового материала
1. Органические вещества живой материи
Вода с растворенными в ней солями –
необходимая среда для химических процессов, из
которых слагается жизнь. Однако, сама жизнь – это
всевозможные превращения множества
разнообразных крупных молекул, главным
элементом в которых является углерод.
Вещества, в состав которых входят
атомы углерода, называются органическими. Лишь
простейшие углеродсодержащие соединения, вроде
оксида углерода (IV) – CO2 или солей угольной
кислоты (NaHCO3; Na2CO3), считаются
неорганическими. К неорганическим веществам
относятся и все соединения, не содержащие
углерода, хотя многие из них присутствуют в
клетке.
Уникальная роль углерода в химии жизни
связана со строением его атомов. Один атом
углерода способен образовывать четыре
ковалентные связи, а большое число таких атомов
может объединяться в длинные цепи. Иногда концы
углеродных цепей соединяются, так что возникают
кольцевые структуры.
Атомы углерода могут образовывать
связи с атомами некоторых других элементов,
обычно это Н, О, N, S. Углеродные цепи и кольца
составляют «скелеты» органических молекул.

Углеродный скелет
Углерод – единственный элемент,
способный образовывать достаточное количество
разного рода сложных и стабильных соединений,
чтобы обеспечить многообразие молекул,
обнаруживаемое у живых существ.

Нам уже известно, что к органическим
веществам живой материи относятся углеводы,
жиры, нуклеиновые кислоты, белки, а также АТФ и
другие низкомолекулярные органические
соединения. Начнем характеризовать роль
органических веществ в «химии» жизни с жиров.
2. Содержание липидов в клетке и в
организме
Липиды – обширная группа природных
органических веществ. Название их происходит от
греческого слова липос – жир, так как они
включают жиры (собственно липиды) и жироподобные
вещества (липоиды). В каждой клетке животного или
растительного организма содержится вполне
определенное количество липидов.
Животные жиры содержатся в молоке,
мясе, подкожной клетчатке, у растений – в
семенах, плодах и других органах. Растительные
жиры называются маслами.
В среднем содержание жира в клетках –
около 5–10% от массы сухого вещества. Существуют,
однако, клетки, содержание жира в которых
достигает почти 90% от сухой массы. Эти
наполненные жиром клетки имеются в жировой
ткани.
Свободный жир можно условно разделить
на две большие группы: протоплазматический
(конституционный) и резервный.
Протоплазматический жир участвует в
построении каждой клетки. Он входит в состав
мембранных внутриклеточных структур. Количество
протоплазматического жира постоянно и
практически не меняется ни при каких состояниях
организма. Например, у человека
протоплазматический жир составляет около 25%
всего жира, находящегося в организме.

Ненасыщенные – стеариновая (а),
пальмитиновая (б) и насыщенная – олеиновая (в)
жирные кислоты
Резервный жир представляет собой
очень удобную форму консервирования энергии. Это
связано с тем, что калорийность жира почти в два
раза выше калорийности белков и углеводов.
Количество резервного жира может меняться в
зависимости от различных условий (пол, возраст,
характер активности, режим питания и т.д.). У
человека депо жира являются подкожная клетчатка,
сальник, околопочечная капсула и др.
Богаты жиром клетки мозга, спермы,
яичников – в них его количество составляет 7,5–30%.
В организме наряду со свободным жиром
имеется большое количество жира, связанного с
углеводами и белками.
3. Строение и свойства липидов

Схема строения жиров
Липиды – органические соединения с
различной структурой, но общими свойствами. По
химической структуре жиры представляют собой
сложные эфиры трехатомного спирта глицерина и
высокомолекулярных жирных кислот.
R1, R2, R3 – это радикалы жирных кислот. Из
них чаще всего встречаются пальмитиновая
[СН3–(СН2)15–СООН], стеариновая [СН3–(СН2)16–СООН],
олеиновая [CH3–(CH2)7–СН=СН–(СН2)7–СООН] жирные
кислоты.
Все жирные кислоты делятся на две
группы: насыщенные, т.е. не содержащие двойных
связей, и ненасыщенные, или непредельные,
содержащие двойные связи.
Из приведенных выше формул видно, что к
насыщенным кислотам принадлежат пальмитиновая и
стеариновая кислоты, а к ненасыщенным –
олеиновая. Свойства жиров определяются
качественным составом жирных кислот и их
количественным соотношением. Растительные жиры
богаты непредельными жирными кислотами, они
являются легкоплавкими – жидкими при комнатной
температуре. Животные жиры при комнатной
температуре твердые, так как содержат главным
образом насыщенные жирные кислоты.
Из формулы жира видно, что его
молекула, с одной стороны, содержит остаток
глицерина – вещества, хорошо растворимого в
воде, а с другой – остатки жирных кислот,
неполярные углеводородные цепочки которых в
воде практически нерастворимы (атомы углерода и
водорода притягивают электроны с приблизительно
равной силой). Неполярные цепи жирных кислот
поэтому тяготеют к неполярным органическим
веществам (хлороформ, эфир, масло). Благодаря этой
особенности молекулы липидов располагаются на
поверхности раздела между водой и неполярными
органическими соединениями или между водой и
воздушной фазой, ориентируясь таким образом,
чтобы их полярные части были обращены к воде.
Такая ориентация молекул липидов по
отношению к воде играет очень важную роль.
Тончайший слой этих веществ, входящий в состав
клеточных мембран, препятствует смешиванию
содержимого клетки или отдельных ее частей с
окружающей средой.
Таким образом, липиды – небольшие
молекулы с преобладанием гидрофобных свойств.
4. Классификация липидов
В живых организмах встречаются разные
липиды. По особенностям строения выделяют
несколько групп липидов.
1. Простые липиды (жиры, воска).
Их молекулы состоят из жирных кислот в
соединении с глицерином – жиры или другими
одноатомными спиртами – воска. Воска образуют
защитную смазку на коже, шерсти и перьях,
покрывают листья и плоды высших растений, а также
кутикулу наружного скелета у многих насекомых.
Эти вещества очень гидрофобны.
2. Сложные липиды – состоят из
глицерина, жирных кислот и других компонентов. К
этой группе относятся: фосфолипиды (производные
ортофосфорной кислоты, входят в состав всех
клеточных мембран); гликолипиды (содержат
остатки сахаров, их много в нервной ткани);
липопротеиды (комплексы липидов с белками).

Стероиды
3. Стероиды – небольшие
гидрофобные молекулы, являющиеся производными
холестерина. К ним относятся многие важные
гормоны (половые гормоны и гормоны коркового
слоя надпочечников), терпены (эфирные масла, от
которых зависит запах растений), некоторые
пигменты (хлорофилл, билирубин), часть витаминов
(А, D, Е, К) и др.
Продолжение следует
|